基本信息

中文名称: 卵形鲳鲹抗眼点淀粉卵涡鞭虫的SNP信息
英文名称: SNP information of resistance to Amyloodinium ocellatum in Trachinotus ovatus
关键词: 孟德尔随机化 | 表型因果关系 | Bayes Lasso模型 | 精准育种体系
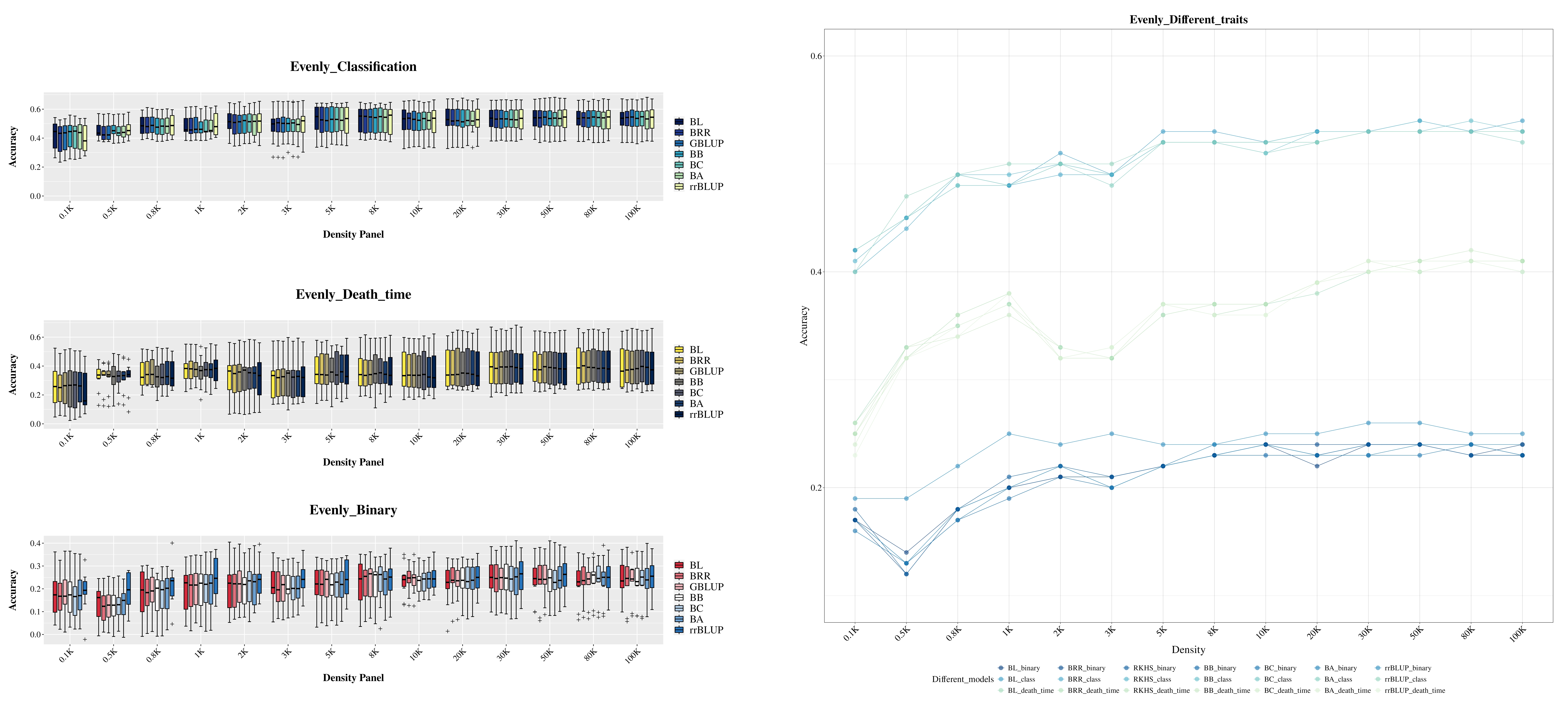
将孟德尔随机化理论引入水生生物育种中,推断出卵形鲳鲹外部表型与抗眼点淀粉卵涡鞭虫(AO)性状之间存在着正向因果关系。在基于全基因组选择(GS)模型的分析中,等距选点50 K的SNP条件下的Bayes Lasso模型预测抗AO性状的准确率最高,应用分级分类性状后预测的基因组育种值10折交叉验证的准确率可达到0.538。在确定Bayes Lasso为抗AO最佳模型的基础上,构建并验证了与抗AO性状适配的精准育种体系策略。将GWAS显SNP位点及外部表型作为固定效应纳入模型后,预测准确率再次提升了23%,最终达到0.753。
搜索
清除
SNP序号 SNP 操作
0 条,每页10条       前往      页
数据清单
搜索
展开更多